Quantum Transition of 2D φ4 theory using Quantum Simulation
Mengyao Huang et al. Poster presented at NNPSS (National Nuclear Physics Summer School) at MIT(2022)
The only true wisdom is in knowing
you know nothing -- Socrates
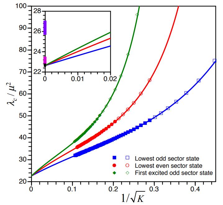
My name is Mengyao Huang, or 黄梦遥. I'm currently a Postdoctoral Researcher at Lawrence Livermore National Laboratory under the Nuclear and Chemical Sciences Division. I earned a Ph.D. in Physics from Iowa State University for my research on quantum many-body structure and transition with computational methods on December 2021. I am interested in applying novel computational methods to nuclear physics. The problems I solved in my Ph.D. thesis are the clustering and transition problems in both low and high energy scales of nuclear physics. The low energy scale problem is the structure of "halo" nuclei 6He, where I developed a 3D modeling method for visualizing the "halo" structure of 6He based on two-body observables calculated by ab initio NCSM (no-core shell model). The high energy scale problem is solving the critical coupling of (1+1) φ4 theory using DLCQ (discretized light-front quantization) method, which is a Hamiltonian method to solve quantum field theory non-perturbatively alternative to the Lattice Methods. I use supercomputers such as Cori at NERSC in LBNL to solve these problems. Recently, I am exploring quantum computing methods such as VQE (variational quantum eigensolver) in solving the transitions of two-dimensional φ4 theory using Qiskit and the Machine Learning applications on nuclear physics. With these advanced computational methods, I aim to solve a broad range of nuclear physics problems. For example, the solar fusion problem is the one where most of its reaction channels are within reach of ab initio methods. I also remain a strong interest in experimental physics and have done some research in detector simulation during my undergraduate years and my first two years of Ph.D.. These backgrounds enable me to think like both an "experimentalist" and a "theorist".
Mengyao Huang et al. Poster presented at NNPSS (National Nuclear Physics Summer School) at MIT(2022)
Mengyao Huang et al. To be submitted to Physical Review C(2022)
James P Vary, Mengyao Huang et al. Physical Review D, 105(1): 016020 arXiv.2109.13372(2021)
Mengyao Huang et al. Nuclear Science and Techniques, 30(1): 1-9 arXiv.1712.05700(2019)